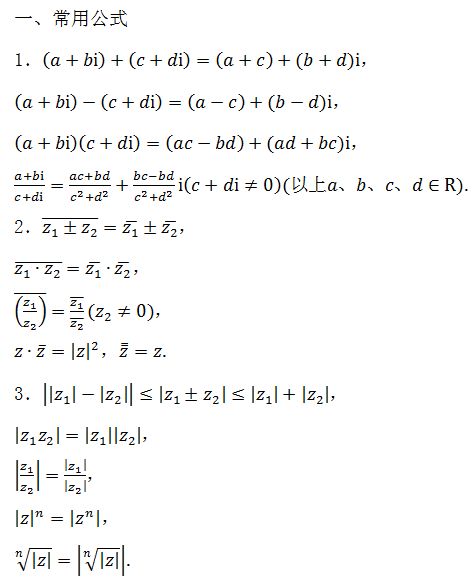
函数与反函数的关系公式:函数与反函数的关系公式,探秘数学中的逆向映射
函数与反函数的定义
函数是一种映射关系,即对于定义域内的每一个输入值,都有唯一的输出值,通常表示为 ( f: A \to B ),( A ) 是定义域,( B ) 是值域。
反函数则是函数的逆映射,只有当原函数是一一映射(即单射且满射)时,才存在反函数,反函数通常表示为 ( f^{-1} ),它将原函数的输出值映射回输入值。
函数与反函数的关系公式
函数与反函数之间最核心的关系是:
[ f(f^{-1}(x)) = x \quad \text{和} \quad f^{-1}(f(x)) = x ]
这两个公式表明,函数与反函数的复合结果是恒等函数,即它们相互“抵消”。

复合函数的恒等性
( y = f(x) ),则 ( x = f^{-1}(y) ),将 ( y ) 代入反函数中,得到:
[ f^{-1}(f(x)) = x ]
同样,将 ( x ) 代入函数中,再代入反函数,得到:
[ f(f^{-1}(x)) = x ]

图像的对称性
函数与反函数的图像关于直线 ( y = x ) 对称,这一性质在图形化表示中尤为直观。
常见函数的反函数公式
线性函数
对于线性函数 ( y = mx + b )(( m \neq 0 )),其反函数为:
[ y = \frac{x - b}{m} ]
指数函数与对数函数
指数函数 ( y = a^x )(( a > 0 ) 且 ( a \neq 1 ))的反函数是对数函数:

[ y = \log_a x ]
二次函数
二次函数 ( y = ax^2 + bx + c )(( a \neq 0 ))的反函数需要限制定义域,使其成为一一映射,定义域为 ( x \geq 0 ) 时,反函数为:
[ x = \sqrt{\frac{-b + \sqrt{b^2 - 4ac}}{2a}} ]
应用与意义
函数与反函数的关系公式在数学、物理、工程等领域有广泛应用。
- 在解方程时,反函数可以帮助我们求解未知数。
- 在数据建模中,反函数用于处理逆向关系。
- 在计算机科学中,反函数用于密码学和编码解码。
函数与反函数的关系公式是数学中的重要工具,它们通过复合恒等性和图像对称性紧密联系,理解这些关系不仅有助于掌握数学理论,还能在实际问题中灵活应用,希望本文能帮助你更好地理解函数与反函数之间的关系,为你的学习和研究提供支持。
相关文章:
文章已关闭评论!










