2020年高考一分一段表(山东2020年高考一分一段表)
2020年高考一分一段表解析及相关知识点
2020年高考考试结束后,各地的高考分数线一分一段表逐渐曝光,成为考生选择院校和专业的重要依据,本文将为大家详细解析2020年高考分数线一分一段表,并结合山东等地的具体情况,为备考学生提供参考。
2020年高考分数线一分一段表概述 高考分数线一分一段表是根据考生高考总分分段,统计不同分数段考生人数的重要工具,通过一分一段表,考生可以清晰地了解自己所处分数段所对应的录取政策和院校选择的可能性,本文将重点解析河南省和四川省的高考分数线一分一段表,以及相关的知识点。

河南省高考分数线一分一段表
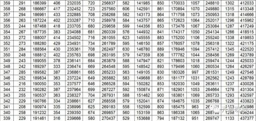
分数段及人数统计 河南省2020年高考一分一段表显示:
- 文科671分以上排在全省前11名,理科715分以上排在全省前11名,理科710分以上的考生共有27人,700分以上的考生有169人。
- 全省600分以上的考生共有49203人,其中文科5041人,理科44162人。
本科与专科分数线
- 理科:本科一批518分,本科二批400分,专科批200分。
- 文科:本科一批558分,本科二批466分,专科批200分。
2020年高考一分一段表的具体分数线 根据最新统计,2020年高考各省份的一分一段表如下:
- 理科:本科一批544分,本科二批418分,专科批180分。
- 文科:本科一批556分,本科二批465分,专科批180分。
四川省高考一分一段表 四川省2020年高考一分一段表显示:
- 物理类分数段累计人数:- 540分段累计76490人(含540分1163人)
- 520分段累计100805人(含520分1300人)
- 500分段累计127322人(含500分1385人)
- 480分段累计154721人(含480分1406人)
- 460分段累计181284人(含460分1276人)
 
高考分数线的一分一段表的作用 高考分数线一分一段表不仅是各地教育部门统计考生成绩的重要工具,更是考生选择院校和专业的重要依据,通过一分一段表,相关部门可以根据不同分数段的考生人数,合理规划录取政策,确保教育资源的公平分配。
招生控制分数线 2020年高考的一分一段表还包含了不同学科类别的招生控制分数线:
- 普通类历史学科类特殊类型招生控制分数线:522分(本科),437分(本科),150分(专科)。
- 普通类物理学科类特殊类型招生控制分数线:515分(本科),367分(本科),150分(专科)。
通过以上信息,考生可以更清晰地了解自己所处分数段的录取政策和院校选择的可能性,希望本文的解析能为各位考生提供有价值的参考,如需了解更多高考分数线一分一段表的信息,记得收藏关注本站,获取最新动态!
文章已关闭评论!











